Официальное опубликование правовых актов
ОФИЦИАЛЬНОЕ ОПУБЛИКОВАНИЕ
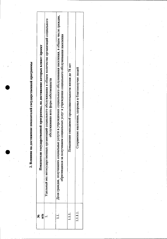
Приказ Министерства социальной защиты Сахалинской области от 29.05.2023 № 1-3.11-265/23
"Об утверждении структурных элементов государственной программы Сахалинской области "Социальная поддержка населения Сахалинской области"
(Зарегистрирован 29.05.2023 № 1-3.11-265/23)
Номер опубликования: 6501202305300002
Дата опубликования: 30.05.2023
Страница №4 из 40:
Увеличить