Официальное опубликование правовых актов
ОФИЦИАЛЬНОЕ ОПУБЛИКОВАНИЕ
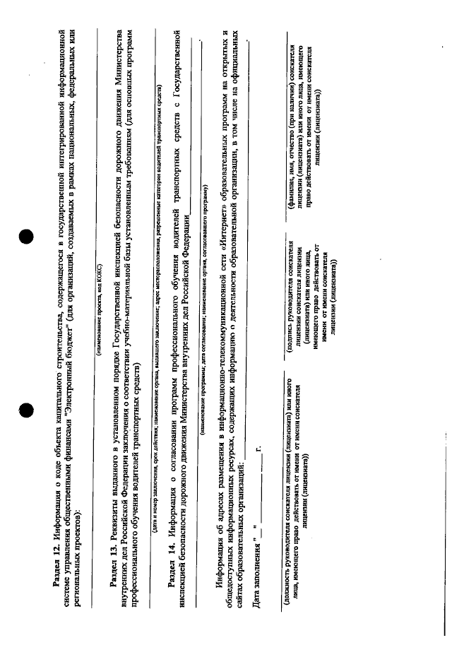
Приказ Министерства образования Сахалинской области от 25.05.2023 № 1-3.12-259/23
"Об утверждении форм документов, используемых министерством образования Сахалинской области в процессе лицензирования образовательной деятельности"
(Зарегистрирован 25.05.2023 № 1-3.12-259/23)
Номер опубликования: 6501202305300001
Дата опубликования: 30.05.2023
Страница №28 из 49:
Увеличить