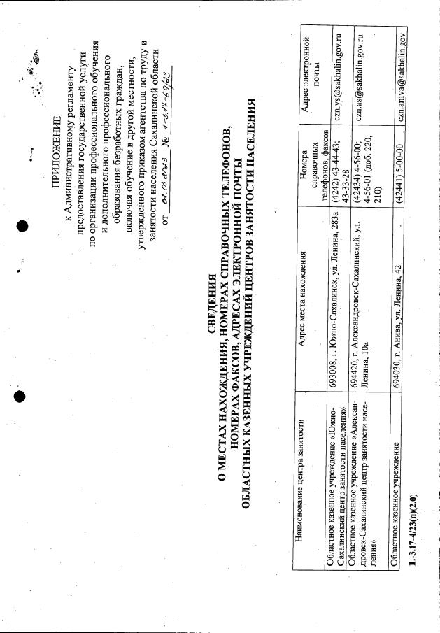
Приказ Агентства по труду и занятости населения Сахалинской области от 02.03.2023 № 1-3.17-69/23
"Об утверждении административного регламента предоставления государственной услуги по организации профессионального обучения и дополнительного профессионального образования безработных граждан, включая обучение в другой местности и признании утратившими силу некоторых приказов агентства по труду и занятости населения Сахалинской области"
(Зарегистрирован 02.03.2023 № 1-3.17-69/23)
"Об утверждении административного регламента предоставления государственной услуги по организации профессионального обучения и дополнительного профессионального образования безработных граждан, включая обучение в другой местности и признании утратившими силу некоторых приказов агентства по труду и занятости населения Сахалинской области"
(Зарегистрирован 02.03.2023 № 1-3.17-69/23)
Номер опубликования: 6501202303060003
Дата опубликования:
06.03.2023
