Официальное опубликование правовых актов
ОФИЦИАЛЬНОЕ ОПУБЛИКОВАНИЕ
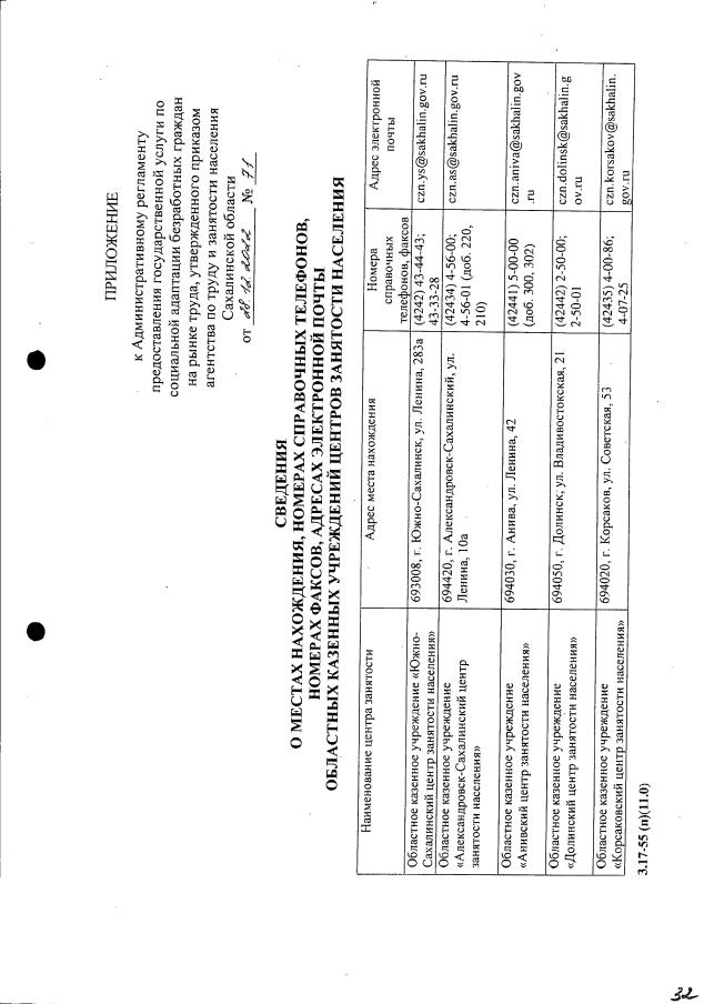
Приказ Агентства по труду и занятости населения Сахалинской области от 28.12.2022 № 71
"Об утверждении Административного регламента предоставления государственной услуги по социальной адаптации безработных граждан на рынке труда и признании утратившими силу некоторых приказов агентства по труду и занятости населения Сахалинской области"
Номер опубликования: 6501202212300001
Дата опубликования: 30.12.2022
Страница №61 из 63:
Увеличить