Официальное опубликование правовых актов
ОФИЦИАЛЬНОЕ ОПУБЛИКОВАНИЕ
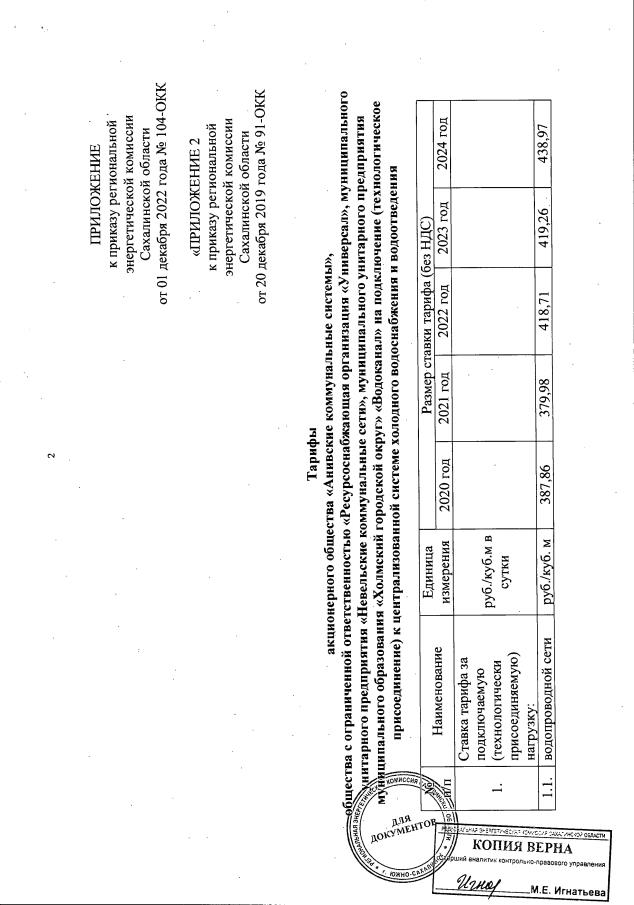
Приказ Региональной энергетической комиссии Сахалинской области от 01.12.2022 № 104-ОКК
"О внесении изменений в приказ региональной энергетической комиссии Сахалинской области от 20 декабря 2019 года № 91-ОКК "Об установлении тарифов организаций коммунального комплекса Сахалинской области на подключение (технологическое присоединение) к централизованным системам холодного водоснабжения и водоотведения"
Номер опубликования: 6501202212050005
Дата опубликования: 05.12.2022
Страница №2 из 4:
Увеличить