Официальное опубликование правовых актов
ОФИЦИАЛЬНОЕ ОПУБЛИКОВАНИЕ
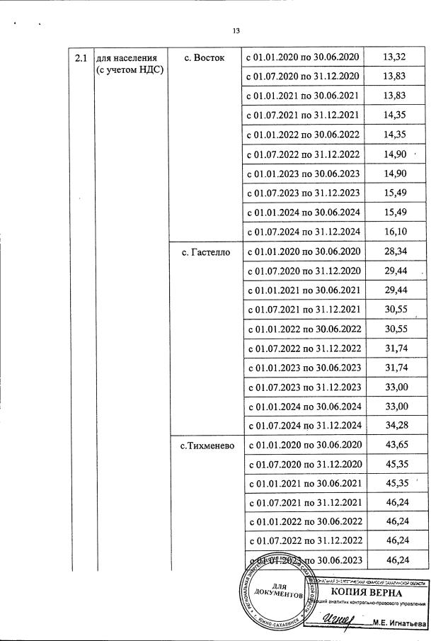
Приказ Региональной энергетической комиссии Сахалинской области от 13.07.2022 № 19-ОКК
"О корректировке на 2023 год тарифов муниципального унитарного предприятия "Поронайская коммунальная компания-1" на питьевую воду (питьевое водоснабжение) и водоотведение для потребителей сел Восток, Гастелло, Тихменево"
Номер опубликования: 6501202207130001
Дата опубликования: 13.07.2022
Страница №13 из 15:
Увеличить