Официальное опубликование правовых актов
ОФИЦИАЛЬНОЕ ОПУБЛИКОВАНИЕ
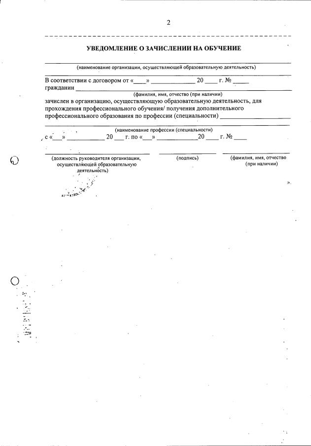
Приказ Агентства по труду и занятости населения Сахалинской области от 05.05.2022 № 38
"О внесении изменений в Административный регламент предоставления государственной услуги по организации профессионального обучения и дополнительного профессионального образования женщин в период отпуска по уходу за ребенком до достижения им возраста трех лет, утвержденный приказом агентства по труду и занятости населения Сахалинской области от 09.12.2019 № 81"
Номер опубликования: 6501202205120001
Дата опубликования: 12.05.2022
Страница №41 из 41:
Увеличить