Официальное опубликование правовых актов
ОФИЦИАЛЬНОЕ ОПУБЛИКОВАНИЕ
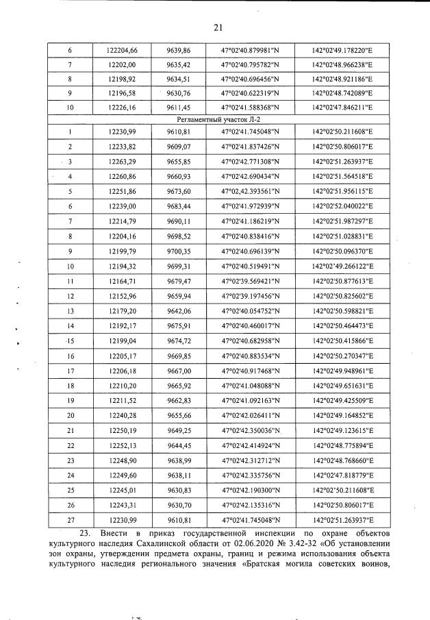
Приказ Государственной инспекции по охране объектов культурного наследия Сахалинской области от 21.02.2022 № 3.42-7
"О внесении изменений в некоторые приказы государственной инспекции по охране объектов культурного наследия Сахалинской области "
Номер опубликования: 6501202202250001
Дата опубликования: 25.02.2022
Страница №21 из 48:
Увеличить