Официальное опубликование правовых актов
ОФИЦИАЛЬНОЕ ОПУБЛИКОВАНИЕ
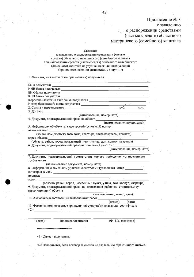
Приказ Министерства социальной защиты Сахалинской области от 26.01.2022 № 9-н
"О реализации Закона Сахалинской области от 09.03.2011 № 21-ЗО "О дополнительных мерах поддержки семей, имеющих детей"
Номер опубликования: 6501202201280001
Дата опубликования: 28.01.2022
Страница №70 из 72:
Увеличить