Официальное опубликование правовых актов
ОФИЦИАЛЬНОЕ ОПУБЛИКОВАНИЕ
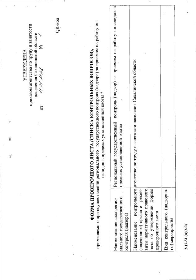
Приказ Агентства по труду и занятости населения Сахалинской области от 11.01.2022 № 1
"Об утверждении формы проверочного листа (списка контрольных вопросов), применяемого при осуществлении регионального государственного контроля (надзора) за приемом на работу инвалидов в пределах установленной квоты, и признании утратившим силу приказа агентства по труду и занятости населения Сахалинской области от 08.07.2021 № 14"
Номер опубликования: 6501202201180011
Дата опубликования: 18.01.2022
Страница №3 из 9:
Увеличить