Официальное опубликование правовых актов
ОФИЦИАЛЬНОЕ ОПУБЛИКОВАНИЕ
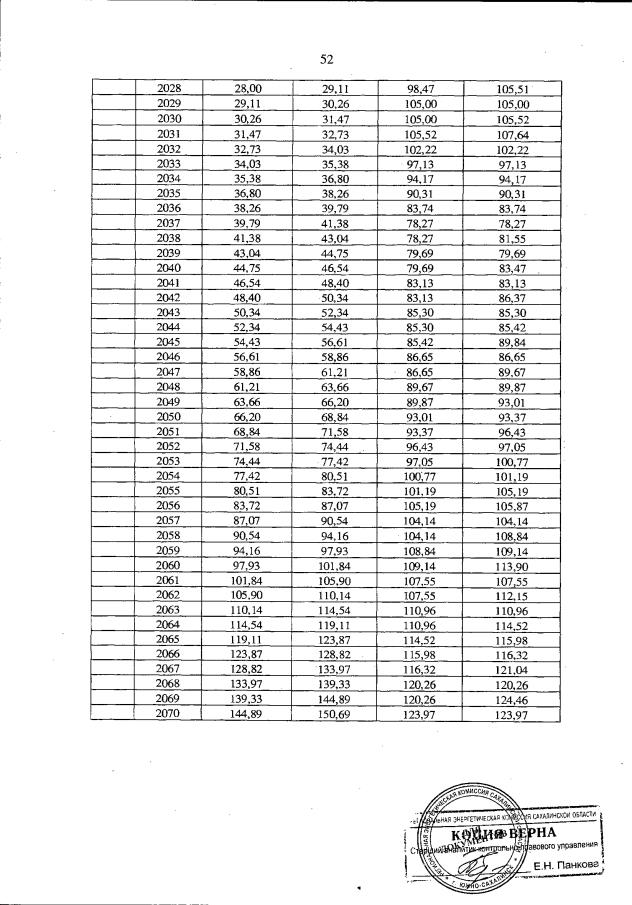
Приказ Региональной энергетической комиссии Сахалинской области от 27.12.2021 № 105-ОКК
"Об установлении тарифов общества с ограниченной ответственностью "Первая водная концессионная компания" на питьевую воду (питьевое водоснабжение) и водоотведение на долгосрочный период 2022-2070 годов"
Номер опубликования: 6501202112290011
Дата опубликования: 29.12.2021
Страница №52 из 52:
Увеличить