Официальное опубликование правовых актов
ОФИЦИАЛЬНОЕ ОПУБЛИКОВАНИЕ
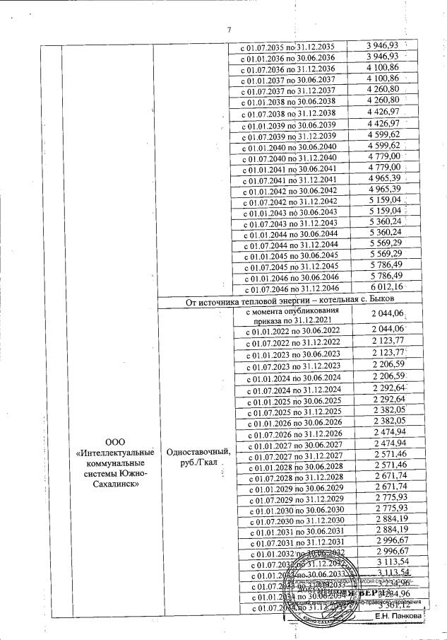
Приказ Региональной энергетической комиссии Сахалинской области от 27.12.2021 № 90-Э
"Об установлении тарифов на тепловую энергию и теплоноситель, поставляемые потребителям ООО "Интеллектуальные коммунальные системы Южно-Сахалинск" на 2021 год, на долгосрочный период регулирования на 2022 -2046 годов."
Номер опубликования: 6501202112290007
Дата опубликования: 29.12.2021
Страница №7 из 14:
Увеличить