Официальное опубликование правовых актов
ОФИЦИАЛЬНОЕ ОПУБЛИКОВАНИЕ
Приказ Государственной инспекции по охране объектов культурного наследия Сахалинской области от 27.10.2021 № 3.42-77
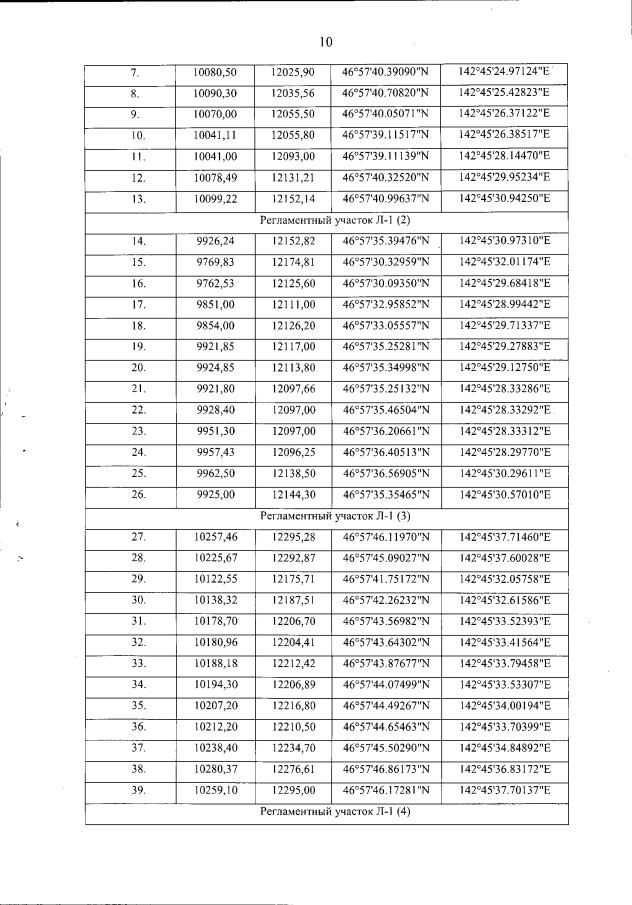
"Об установлении границ зон охраны, утверждении особых режимов использования земель и требований к градостроительным регламентам в границах зон охраны объекта культурного наследия регионального значения "Мемориал в честь советских воинов, погибших в боях за освобождение Южного Сахалина и Курильских островов в 1945 г.", расположенного по адресу: Сахалинская область, г. Южно-Сахалинск, площадь Славы"
Номер опубликования: 6501202111030006
Дата опубликования: 03.11.2021
Страница №10 из 18:
Увеличить