Официальное опубликование правовых актов
ОФИЦИАЛЬНОЕ ОПУБЛИКОВАНИЕ
Приказ Министерства спорта Сахалинской области от 15.10.2021 № 3.18-23-п
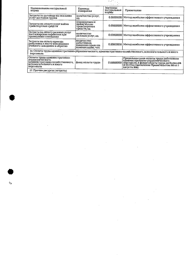
"Об утверждении значений базовых нормативов затрат на оказание государственных услуг в сфере физической культуры и спорта, значений отраслевых корректирующих коэффициентов к базовым нормативам затрат на оказание государственных услуг в сфере физической культуры и спорта, значение натуральных норм, необходимых для определения базовых нормативов затрат на оказание государственных услуг в сфере физической культуры и спорта"
Номер опубликования: 6501202110190002
Дата опубликования: 19.10.2021
Страница №561 из 793:
Увеличить