Официальное опубликование правовых актов
ОФИЦИАЛЬНОЕ ОПУБЛИКОВАНИЕ
Приказ Министерства здравоохранения Сахалинской области от 29.03.2021 № 6-п
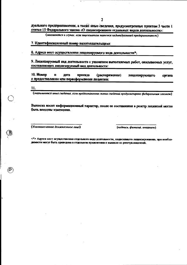
"Об утверждении форм документов, используемых министерством здравоохранения Сахалинской области в процессе лицензирования деятельности по обороту наркотических средств, психотропных веществ и их прекурсоров, культивированию наркосодержащих растений (за исключением деятельности, осуществляемой организациями оптовой торговли лекарственными средствами для медицинского применения и аптечными организациями, подведомственными федеральным органам исполнительной власти)"
Номер опубликования: 6501202104050002
Дата опубликования: 05.04.2021
Страница №53 из 53:
Увеличить