Официальное опубликование правовых актов
ОФИЦИАЛЬНОЕ ОПУБЛИКОВАНИЕ
Приказ Государственной инспекции по охране объектов культурного наследия Сахалинской области от 23.03.2021 № 3.42-27
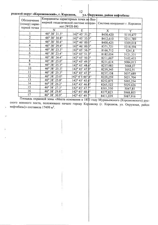
"Об установлении зон охраны, утверждении предмета охраны, границ и режимов использования земель в границах объекта культурного наследия регионального значения - достопримечательное место "Место основания в 1853 году Муравьёвского (Корсаковского) русского военного поста, положившее начало городу Корсакову"
Номер опубликования: 6501202103250002
Дата опубликования: 25.03.2021
Страница №12 из 14:
Увеличить