Официальное опубликование правовых актов
ОФИЦИАЛЬНОЕ ОПУБЛИКОВАНИЕ
Приказ Министерства образования Сахалинской области от 02.03.2021 № 3.12-8
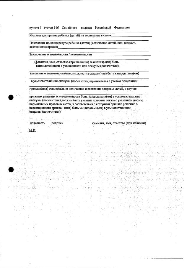
"Об утверждении административного регламента министерства образования Сахалинской области по предоставлению государственной услуги "Представление информации о детях, оставшихся без попечения родителей, и выдача направления на их посещение"
Номер опубликования: 6501202103050003
Дата опубликования: 05.03.2021
Страница №45 из 53:
Увеличить