Приказ Региональной энергетической комиссии Сахалинской области от 16.12.2020 № 77-ОКК
"О корректировке на 2021 год тарифов государственного бюджетного учреждения "Кировский детский дом-интернат для умственно отсталых детей" на водоотведение, установленных на долгосрочный период регулирования"
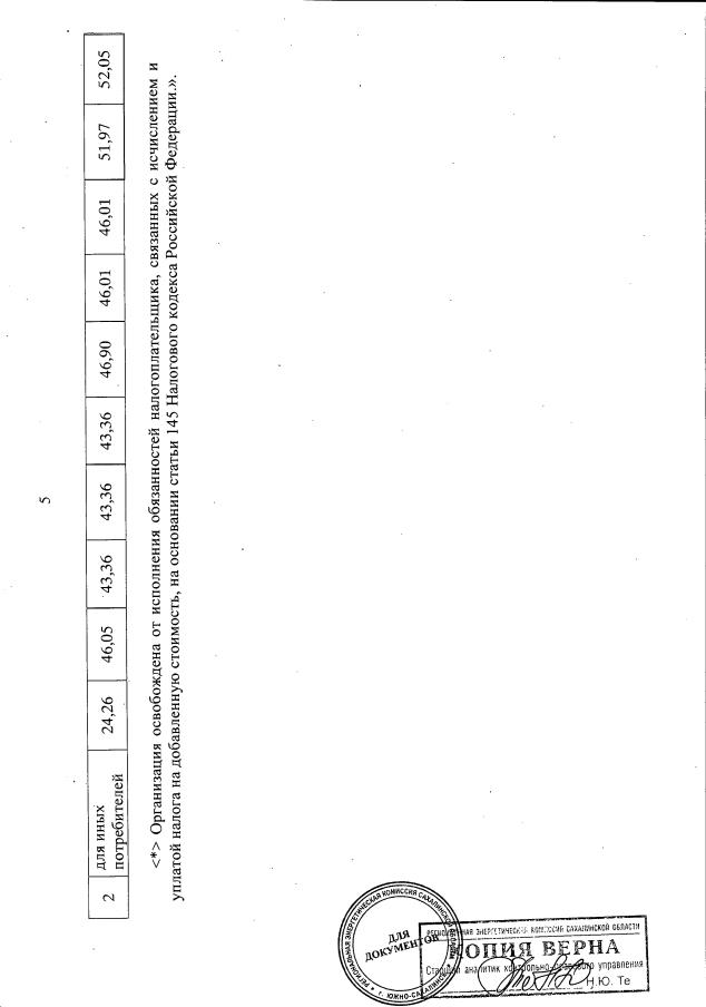
"О корректировке на 2021 год тарифов государственного бюджетного учреждения "Кировский детский дом-интернат для умственно отсталых детей" на водоотведение, установленных на долгосрочный период регулирования"
Номер опубликования: 6501202012210016
Дата опубликования:
21.12.2020
