Официальное опубликование правовых актов
ОФИЦИАЛЬНОЕ ОПУБЛИКОВАНИЕ
Приказ Министерства сельского хозяйства и торговли Сахалинской области от 02.12.2020 № 3.37-39-п
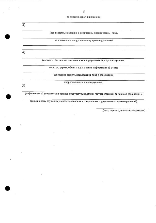
"Об утверждении Порядка уведомления представителя нанимателя о фактах обращения в целях склонения государственных гражданских служащих министерства сельского хозяйства и торговли Сахалинской области к совершению коррупционных правонарушений"
Номер опубликования: 6501202012070005
Дата опубликования: 07.12.2020
Страница №7 из 10:
Увеличить