Официальное опубликование правовых актов
ОФИЦИАЛЬНОЕ ОПУБЛИКОВАНИЕ
Приказ Министерства сельского хозяйства и торговли Сахалинской области от 20.11.2020 № 3.37-35-п
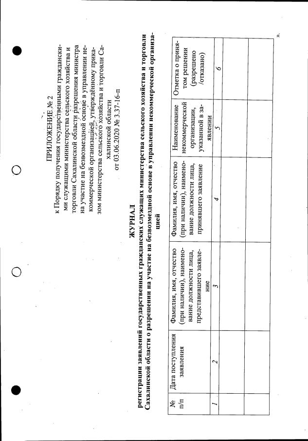
"О внесении изменения в приказ министерства сельского хозяйства и торговли Сахалинской области от 03.06.2020 № 3.37-16-п "Об утверждении порядка получения государственными гражданскими служащими министерства сельского хозяйства и торговли Сахалинской области разрешения представителя нанимателя на участие на безвозмездной основе в управлении некоммерческой организацией"
Номер опубликования: 6501202011240009
Дата опубликования: 24.11.2020
Страница №8 из 8:
Увеличить