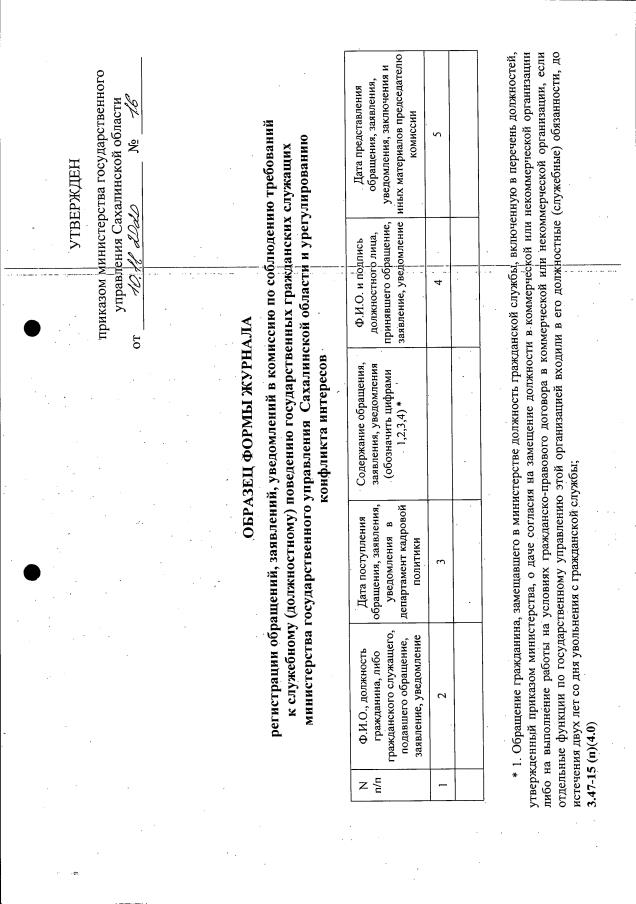
Приказ Министерства государственного управления Сахалинской области от 10.11.2020 № 16
"Об утверждении Порядков поступления в комиссию по соблюдению требований к служебному (должностному) поведению государственных гражданских служащих министерства государственного управления Сахалинской области и урегулированию конфликта интересов обращений, заявлений и уведомлений"
"Об утверждении Порядков поступления в комиссию по соблюдению требований к служебному (должностному) поведению государственных гражданских служащих министерства государственного управления Сахалинской области и урегулированию конфликта интересов обращений, заявлений и уведомлений"
Номер опубликования: 6501202011130006
Дата опубликования:
13.11.2020
