Официальное опубликование правовых актов
ОФИЦИАЛЬНОЕ ОПУБЛИКОВАНИЕ
Приказ Региональной энергетической комиссии Сахалинской области от 21.10.2020 № 30-ОКК
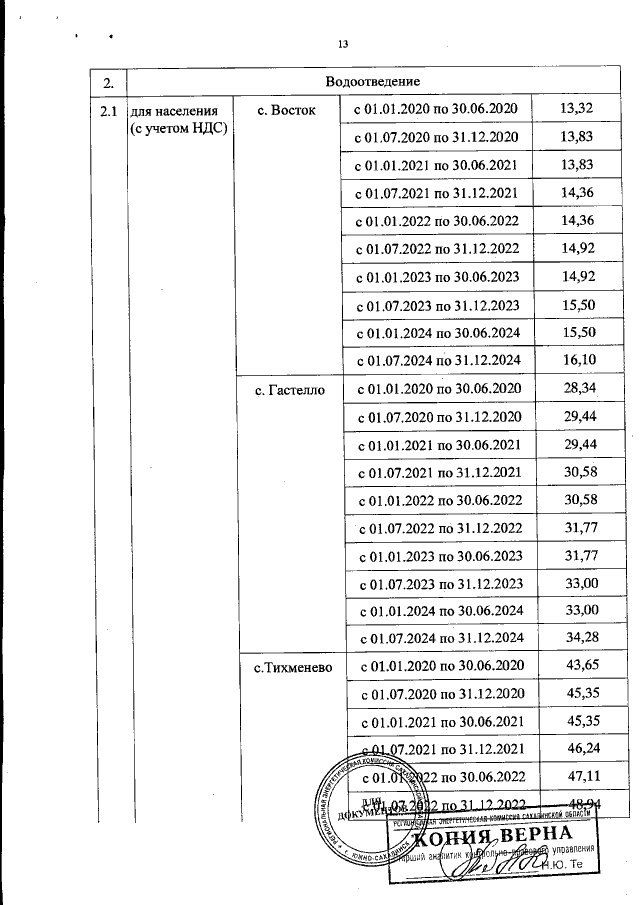
"О корректировке на 2021 год тарифов муниципального унитарного предприятия "Поронайская коммунальная компания-1" на питьевую воду (питьевое водоснабжение) и водоотведение сел Восток, Гастелло, Тихменево"
Номер опубликования: 6501202010280001
Дата опубликования: 28.10.2020
Страница №13 из 15:
Увеличить