Официальное опубликование правовых актов
ОФИЦИАЛЬНОЕ ОПУБЛИКОВАНИЕ
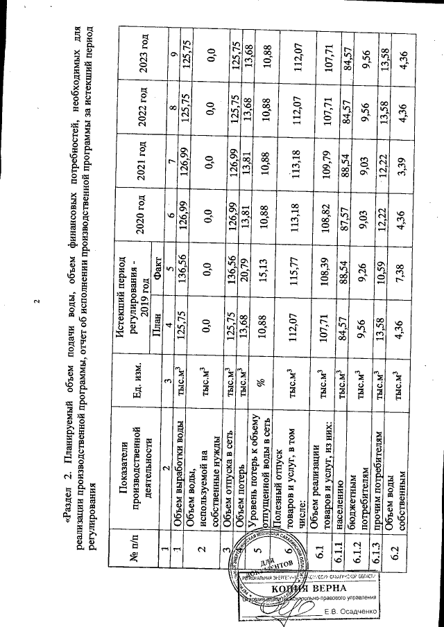
Приказ Региональной энергетической комиссии Сахалинской области от 30.09.2020 № 22-ОКК
"О корректировке на 2021 год тарифов общества с ограниченной ответственностью "КОМУС-1" на питьевую воду (питьевое водоснабжение) и водоотведение, установленных на долгосрочный период регулирования"
Номер опубликования: 6501202010070001
Дата опубликования: 07.10.2020
Страница №2 из 9:
Увеличить