Официальное опубликование правовых актов
ОФИЦИАЛЬНОЕ ОПУБЛИКОВАНИЕ
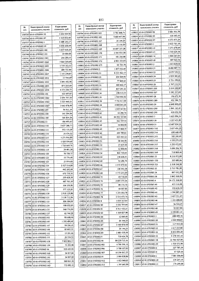
Приказ Министерства имущественных и земельных отношений Сахалинской области от 24.10.2019 № 12-П
"Об утверждении результатов определения кадастровой стоимости земельных участков"
Номер опубликования: 6501201910290007
Дата опубликования: 29.10.2019
Страница №886 из 908:
Увеличить