Официальное опубликование правовых актов
ОФИЦИАЛЬНОЕ ОПУБЛИКОВАНИЕ
Приказ Министерства архитектуры и градостроительства Сахалинской области от 24.06.2019 № 3.39-21-п
"Об утверждении региональных нормативов градостроительного проектирования Сахалинской области"
Номер опубликования: 6501201907010001
Дата опубликования: 01.07.2019
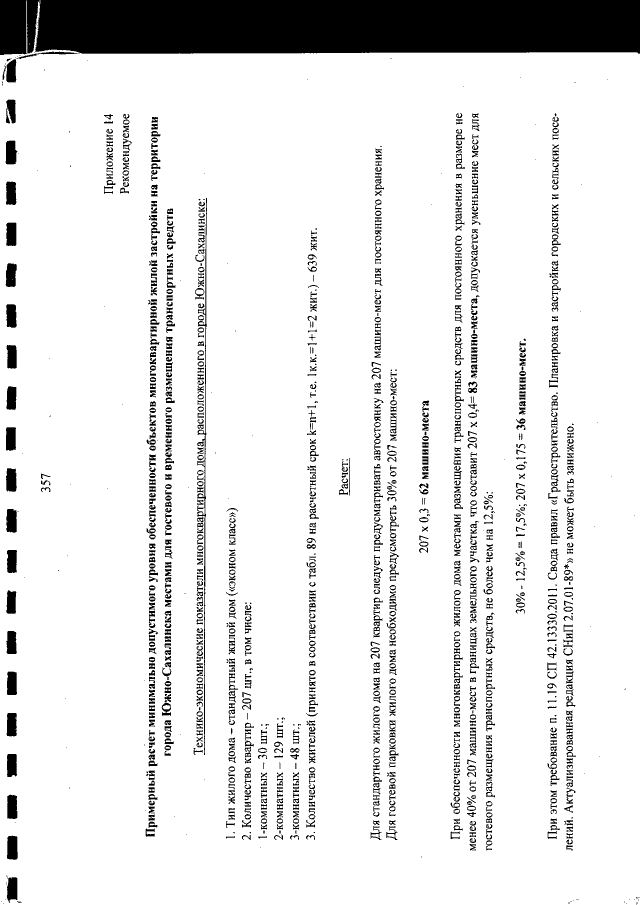
Страница №366 из 501:
Увеличить