Официальное опубликование правовых актов
ОФИЦИАЛЬНОЕ ОПУБЛИКОВАНИЕ
Приказ Министерства имущественных и земельных отношений Сахалинской области от 07.12.2018 № 13-п
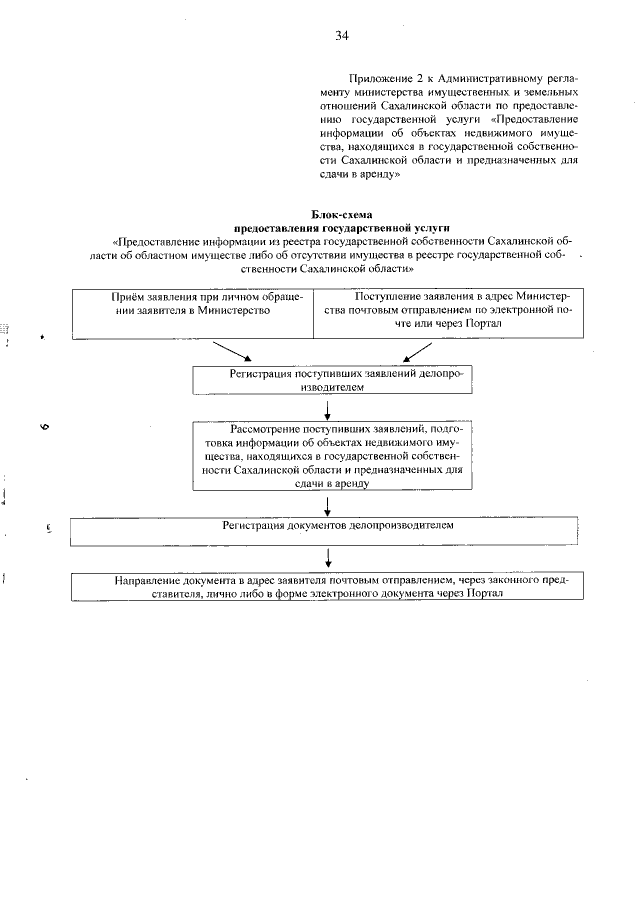
"Об утверждении административного регламента Министерства имущественных и земельных отношений Сахалинской области по предоставлению государственной услуги "Предоставление информации об объектах недвижимого имущества, находящихся в государственной собственности Сахалинской области и предназначенных для сдачи в аренду"
Номер опубликования: 6501201812100033
Дата опубликования: 10.12.2018
Страница №34 из 34:
Увеличить