Официальное опубликование правовых актов
ОФИЦИАЛЬНОЕ ОПУБЛИКОВАНИЕ
Приказ Министерства лесного и охотничьего хозяйства Сахалинской области от 29.08.2018 № 46-п
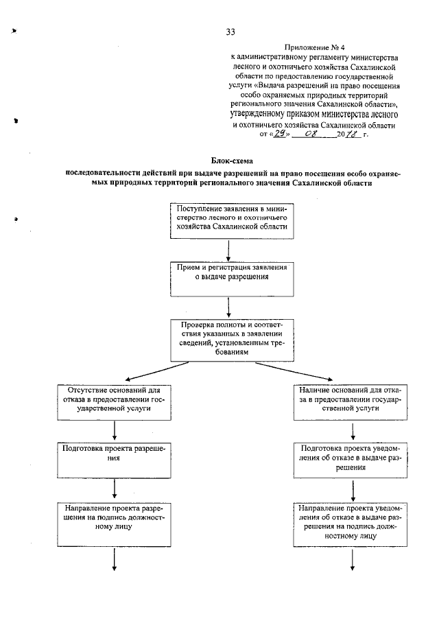
"Об утверждении Административного регламента министерства лесного и охотничьего хозяйства Сахалинской области по предоставлению государственной услуги "Выдача разрешений на право посещения особо охраняемых природных территорий регионального значения Сахалинской области"
Номер опубликования: 6501201809030005
Дата опубликования: 03.09.2018
Страница №35 из 36:
Увеличить