Официальное опубликование правовых актов
ОФИЦИАЛЬНОЕ ОПУБЛИКОВАНИЕ
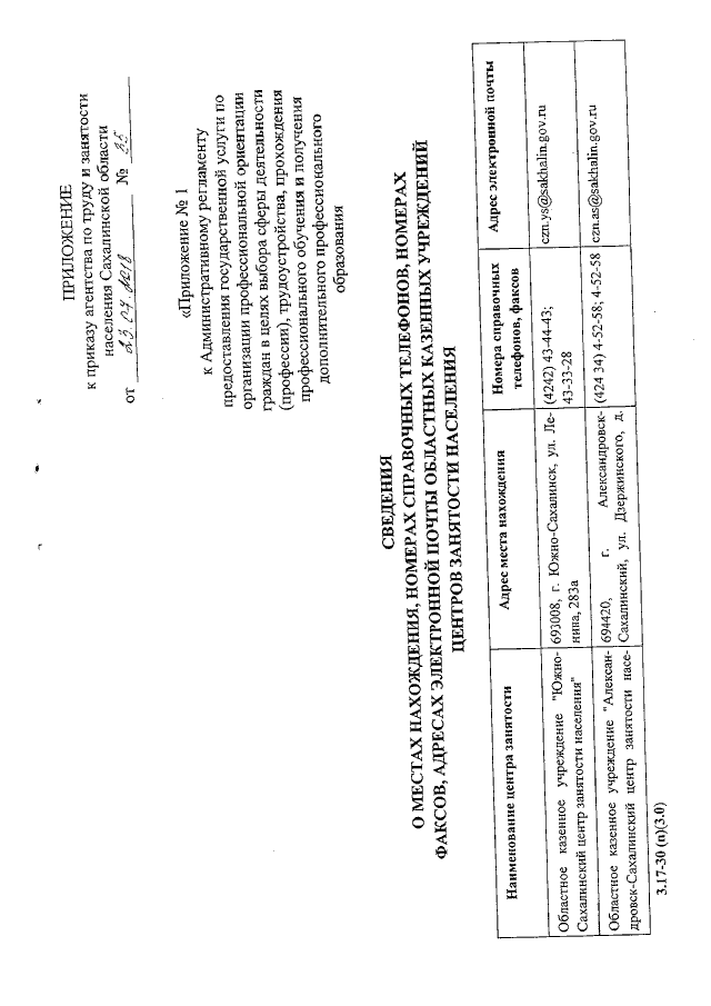
Приказ Агентства по труду и занятости населения Сахалинской области от 23.07.2018 № 35
"О внесении изменений в Административный регламент предоставления государственной услуги по организации профессиональной ориентации граждан в целях выбора сферы деятельности (профессии), трудоустройства, прохождения профессионального обучения и получения дополнительного профессионального образования, утвержденный приказом агентства по труду и занятости населения Сахалинской области от 15.06.2016 № 27"
Номер опубликования: 6501201807240002
Дата опубликования: 24.07.2018
Страница №16 из 18:
Увеличить