Официальное опубликование правовых актов
ОФИЦИАЛЬНОЕ ОПУБЛИКОВАНИЕ
Приказ Министерства строительства Сахалинской области от 05.07.2018 № 3.08-39
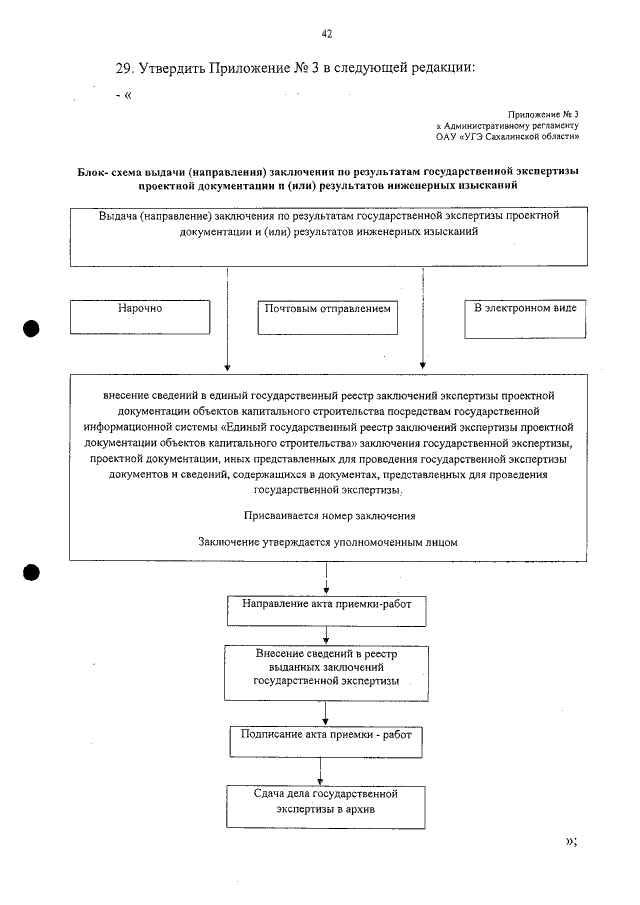
"О внесении изменений в приказ министерства строительства Сахалинской области от 22.09.2017 № 3.08-33 "Об утверждении Административного регламента областного автономного учреждения "Управление государственной экспертизы Сахалинской области" по предоставлению государственной услуги "Государственная экспертиза проектной документации и (или) результатов инженерных изысканий"
Номер опубликования: 6501201807100005
Дата опубликования: 10.07.2018
Страница №42 из 44:
Увеличить