Официальное опубликование правовых актов
ОФИЦИАЛЬНОЕ ОПУБЛИКОВАНИЕ
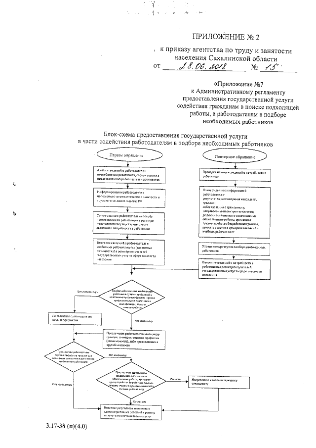
Приказ Агентства по труду и занятости населения Сахалинской области от 28.06.2018 № 15
"О внесении изменений в Административный регламент предоставления государственной услуги содействия гражданам в поиске подходящей работы, а работодателям в подборе необходимых работников, утвержденный приказом агентства по труду и занятости населения Сахалинской области от 29.04.2016 № 16"
Номер опубликования: 6501201807020007
Дата опубликования: 02.07.2018
Страница №45 из 45:
Увеличить