Официальное опубликование правовых актов
ОФИЦИАЛЬНОЕ ОПУБЛИКОВАНИЕ
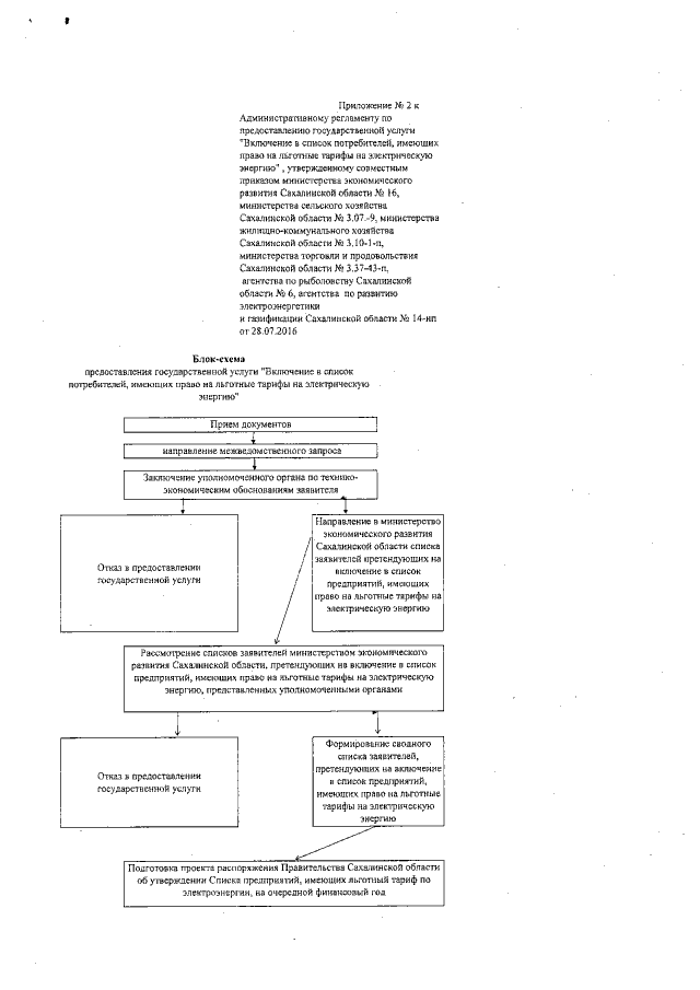
Приказ Министерства экономического развития Сахалинской области, Министерства сельского хозяйства Сахалинской области, Министерства жилищно-коммунального хозяйства Сахалинской области, Министерства торговли и продовольствия Сахалинской области, Агентства по рыболовству Сахалинской области, Агентства по развитию электроэнергетики и газификации Сахалинской области от 28.07.2016 № 16/3.07-9/3.10-1-П/3.37-43-п/6/14-нп
"Об утверждении Административного регламента по предоставлению государственной услуги "Включение в список потребителей, имею-щих право на льготные тарифы на электрическую энергию"
Номер опубликования: 6501201608050001
Дата опубликования: 05.08.2016
Страница №45 из 45:
Увеличить