Официальное опубликование правовых актов
ОФИЦИАЛЬНОЕ ОПУБЛИКОВАНИЕ
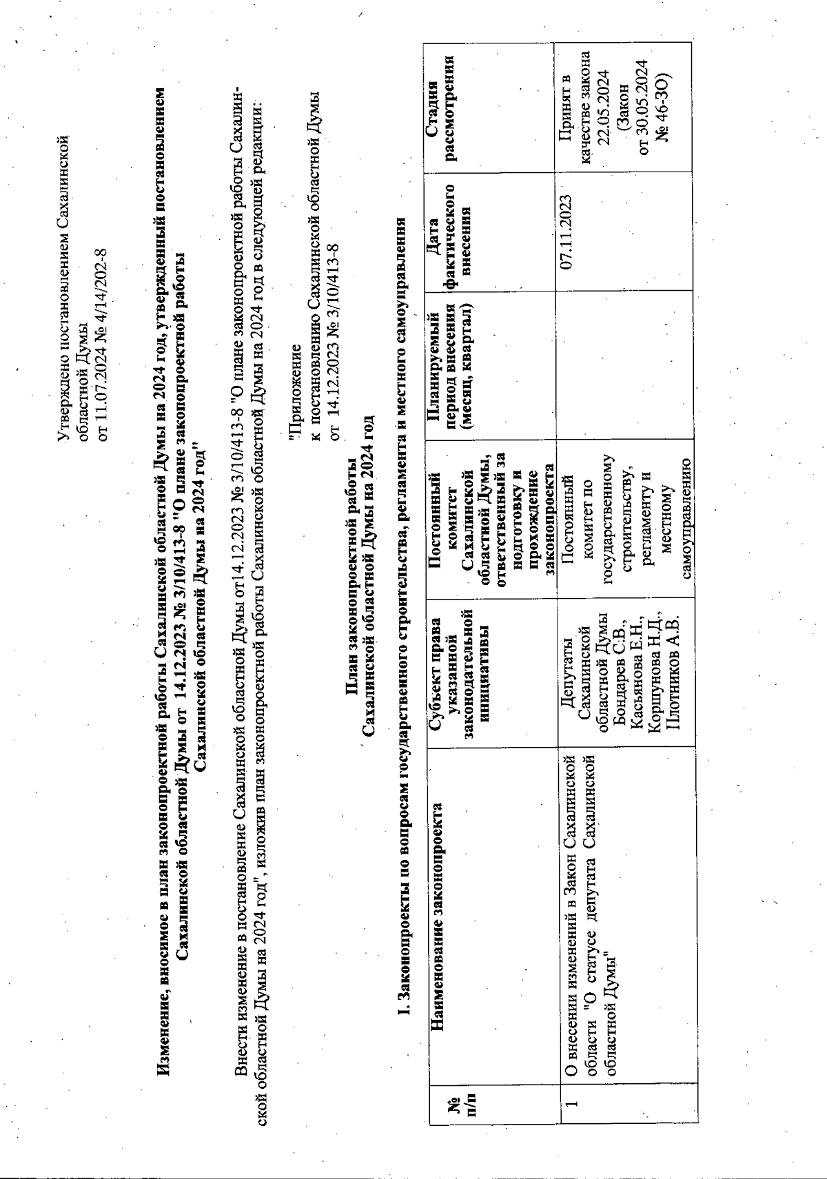
Постановление Сахалинской областной Думы от 11.07.2024 № 4/14/202-8
"О внесении изменения в постановление Сахалинской областной Думы от 14.12.2023 № 3/10/413-8 "О плане законопроектной работы Сахалинской областной Думы на 2024 год"
Номер опубликования: 6500202407170001
Дата опубликования: 17.07.2024
Страница №2 из 40:
Увеличить