Официальное опубликование правовых актов
ОФИЦИАЛЬНОЕ ОПУБЛИКОВАНИЕ
Постановление Правительства Сахалинской области от 27.12.2023 № 676
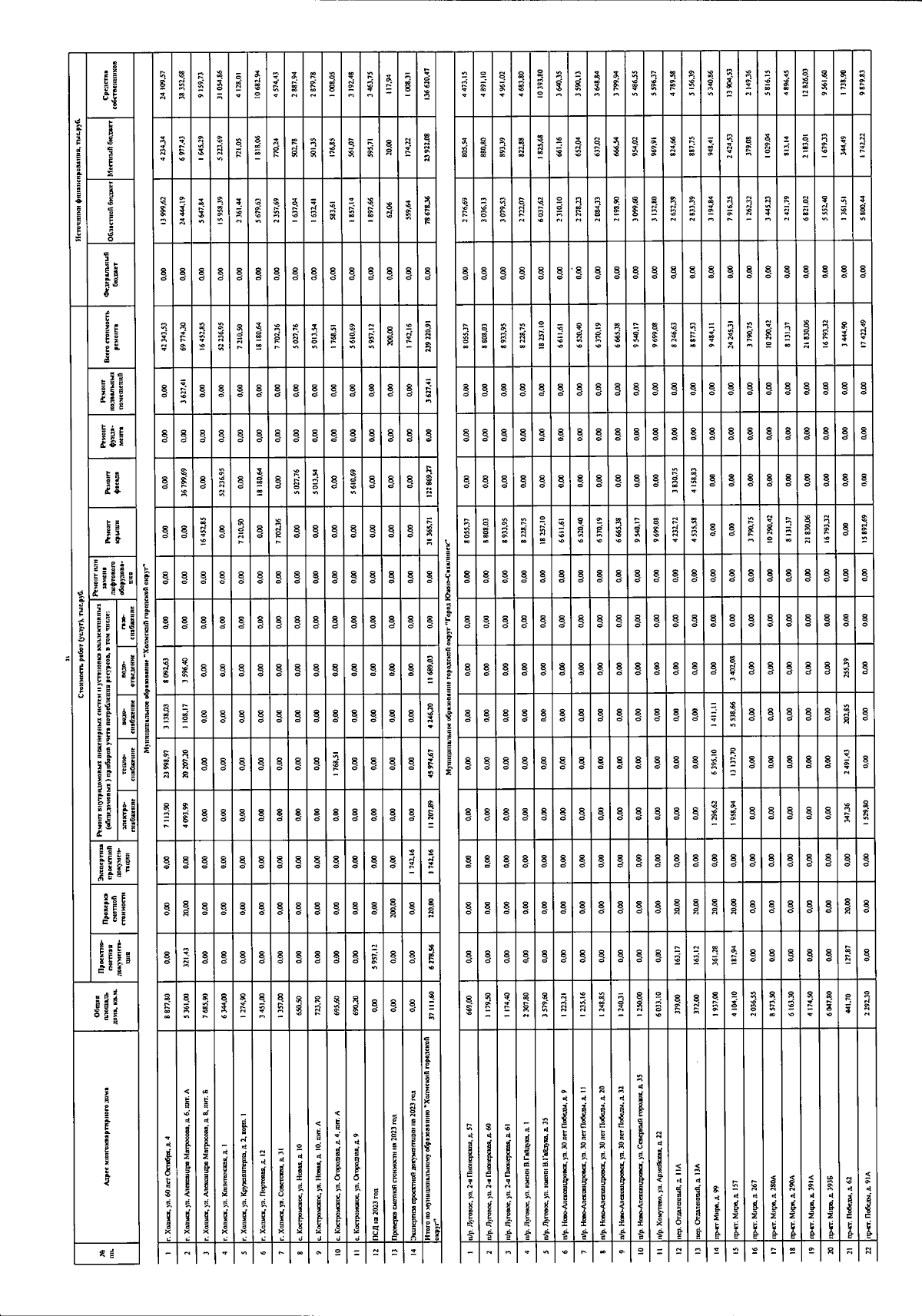
"О внесении изменений в Краткосрочный план реализации региональной программы "Капитальный ремонт общего имущества в многоквартирных домах, расположенных на территории Сахалинской области, на 2014 - 2043 годы", утвержденной постановлением Правительства Сахалинской области от 28.04.2014 № 199, на 2020 - 2022 годы, утвержденный постановлением Правительства Сахалинской области от 27.08.2019 № 375"
Номер опубликования: 6500202312290013
Дата опубликования: 29.12.2023
Страница №23 из 25:
Увеличить