Официальное опубликование правовых актов
ОФИЦИАЛЬНОЕ ОПУБЛИКОВАНИЕ
Постановление Правительства Сахалинской области от 27.12.2023 № 675
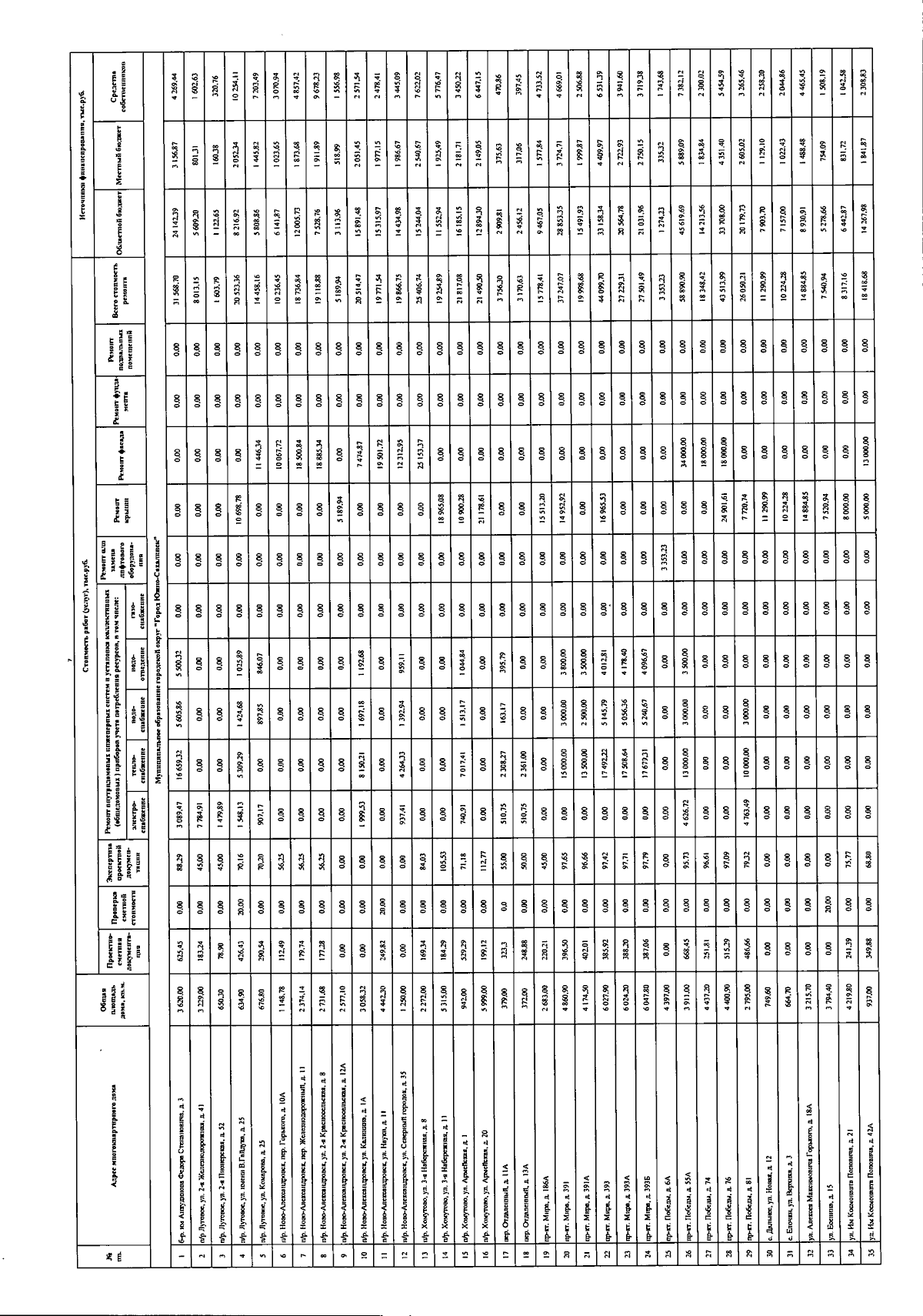
"О внесении изменений в Краткосрочный план реализации региональной программы "Капитальный ремонт общего имущества в многоквартирных домах, расположенных на территории Сахалинской области, на 2014 - 2043 годы", утвержденной постановлением Правительства Сахалинской области от 28.04.2014 № 199, на 2023 - 2025 годы, утвержденный постановлением Правительства Сахалинской области от 30.05.2022 № 203"
Номер опубликования: 6500202312290011
Дата опубликования: 29.12.2023
Страница №9 из 28:
Увеличить