Официальное опубликование правовых актов
ОФИЦИАЛЬНОЕ ОПУБЛИКОВАНИЕ
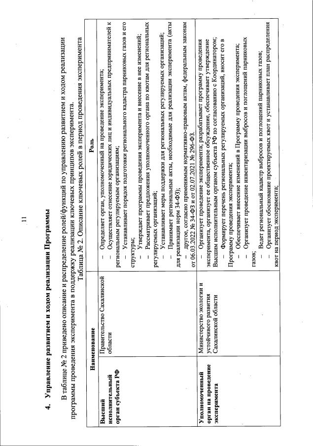
Постановление Правительства Сахалинской области от 28.11.2022 № 551
"Об утверждении программы проведения эксперимента по ограничению выбросов парниковых газов на территории Сахалинской области"
Номер опубликования: 6500202211300003
Дата опубликования: 30.11.2022
Страница №12 из 65:
Увеличить