Официальное опубликование правовых актов
ОФИЦИАЛЬНОЕ ОПУБЛИКОВАНИЕ
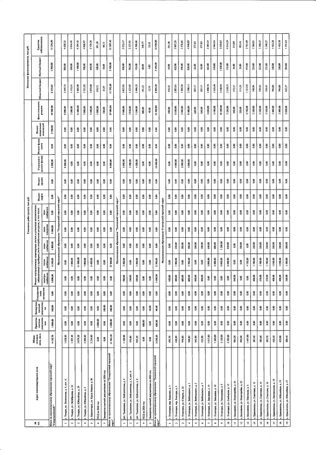
Постановление Правительства Сахалинской области от 05.09.2022 № 399
"О внесении изменений в Краткосрочный план реализации региональной программы "Капитальный ремонт общего имущества в многоквартирных домах, расположенных на территории Сахалинской области, на 2014 - 2043 годы", утвержденной постановлением Правительства Сахалинской области от 28.04.2014 № 199, на 2023 - 2025 годы, утвержденный постановлением Правительства Сахалинской области от 30.05.2022 № 203"
Номер опубликования: 6500202209070001
Дата опубликования: 07.09.2022
Страница №21 из 24:
Увеличить