Официальное опубликование правовых актов
ОФИЦИАЛЬНОЕ ОПУБЛИКОВАНИЕ
Постановление Правительства Сахалинской области от 13.05.2022 № 188
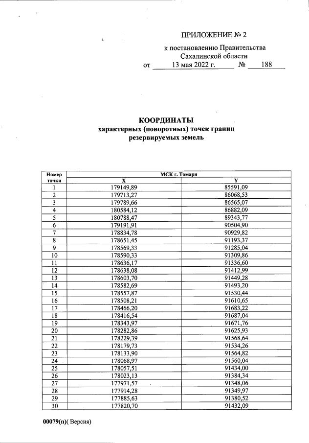
"О резервировании земель в границах муниципального образования "Томаринский городской округ" Сахалинской области для последующего создания особо охраняемой природной территории регионального значения "Озеро Айнское" и об ограничении прав на зарезервированных земельных участках"
Номер опубликования: 6500202205170003
Дата опубликования: 17.05.2022
Страница №5 из 9:
Увеличить