Официальное опубликование правовых актов
ОФИЦИАЛЬНОЕ ОПУБЛИКОВАНИЕ
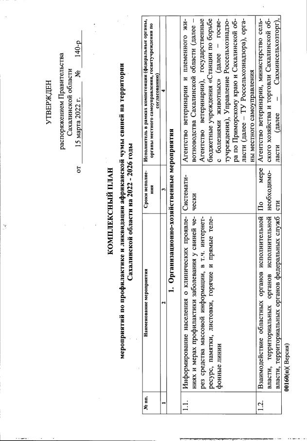
Распоряжение Правительства Сахалинской области от 15.03.2022 № 140-р
"Об утверждении Комплексного плана мероприятий по профилактике и ликвидации африканской чумы свиней на территории Сахалинской области на 2022 - 2026 годы"
Номер опубликования: 6500202203180004
Дата опубликования: 18.03.2022
Страница №2 из 18:
Увеличить