Официальное опубликование правовых актов
ОФИЦИАЛЬНОЕ ОПУБЛИКОВАНИЕ
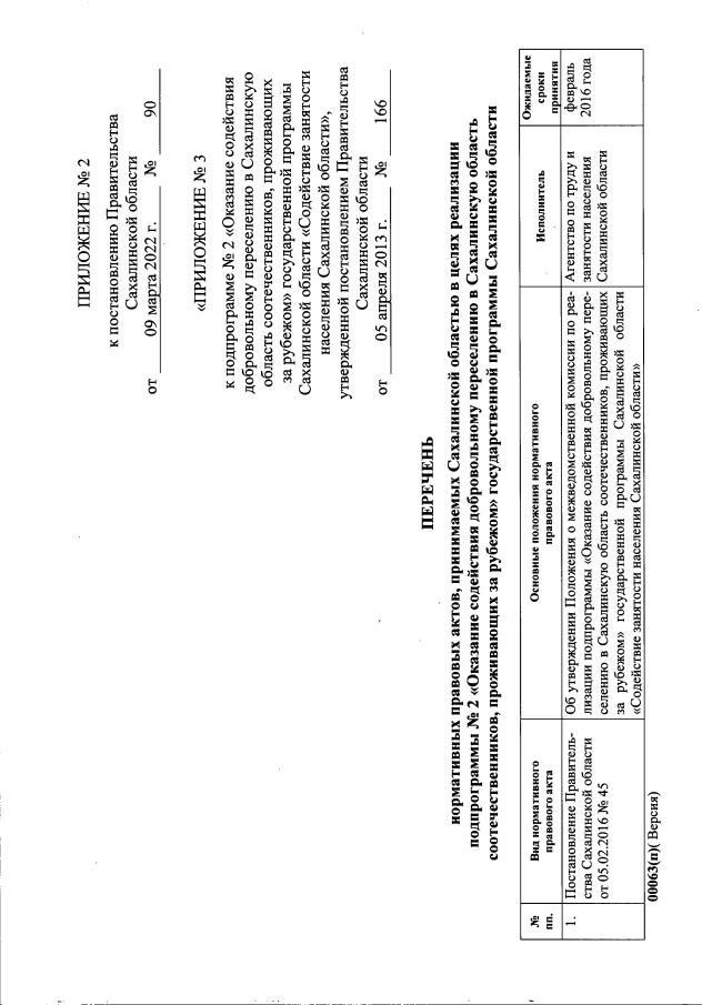
Постановление Правительства Сахалинской области от 09.03.2022 № 90
"О внесении изменений в государственную программу Сахалинской области "Содействие занятости населения Сахалинской области"
Номер опубликования: 6500202203140001
Дата опубликования: 14.03.2022
Страница №20 из 66:
Увеличить