Официальное опубликование правовых актов
ОФИЦИАЛЬНОЕ ОПУБЛИКОВАНИЕ
Постановление Правительства Сахалинской области от 31.01.2022 № 27
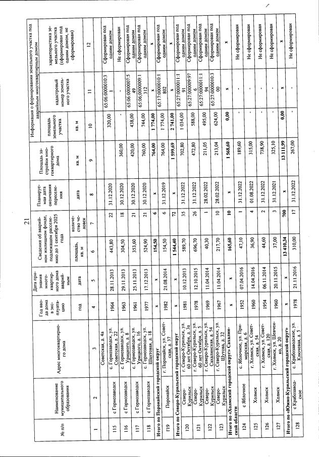
"О внесении изменений в постановление Правительства Сахалинской области от 29.03.2019 № 133 "Об утверждении региональной адресной программы "Переселение граждан из аварийного жилищного фонда на территории Сахалинской области в 2019 - 2025 годах"
Номер опубликования: 6500202202020008
Дата опубликования: 02.02.2022
Страница №25 из 40:
Увеличить