Официальное опубликование правовых актов
ОФИЦИАЛЬНОЕ ОПУБЛИКОВАНИЕ
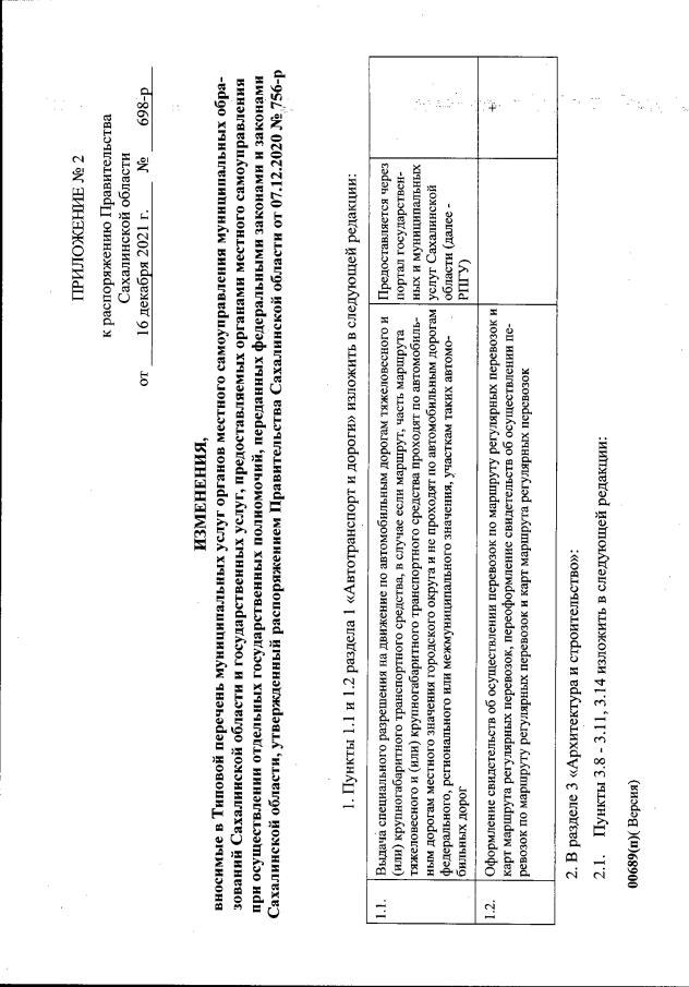
Распоряжение Правительства Сахалинской области от 16.12.2021 № 698-р
"О внесении изменений в распоряжение Правительства Сахалинской области от 07.12.2020 № 756-р "Об утверждении перечней государственных и муниципальных услуг, оказываемых органами исполнительной власти Сахалинской области, органами местного самоуправления муниципальных образований Сахалинской области, услуг, оказываемых государственными учреждениями Сахалинской области и другими организациями, в которых размещается государственное задание (заказ)"
Номер опубликования: 6500202112170004
Дата опубликования: 17.12.2021
Страница №11 из 15:
Увеличить