Официальное опубликование правовых актов
ОФИЦИАЛЬНОЕ ОПУБЛИКОВАНИЕ
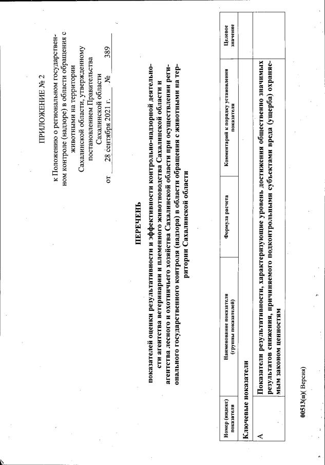
Постановление Правительства Сахалинской области от 28.09.2021 № 389
"Об утверждении Положения о региональном государственном контроле (надзоре) в области обращения с животными на территории Сахалинской области"
Номер опубликования: 6500202110010003
Дата опубликования: 01.10.2021
Страница №41 из 53:
Увеличить