Официальное опубликование правовых актов
ОФИЦИАЛЬНОЕ ОПУБЛИКОВАНИЕ
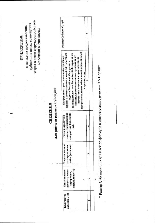
Постановление Правительства Сахалинской области от 18.06.2021 № 235
"Об утверждении Порядков предоставления субсидий юридическим лицам и индивидуальным предпринимателям, физическим лицам - производителям товаров, работ, услуг в рамках реализации государственной программы Сахалинской области "Содействие занятости населения Сахалинской области"
Номер опубликования: 6500202106210007
Дата опубликования: 21.06.2021
Страница №98 из 170:
Увеличить