Официальное опубликование правовых актов
ОФИЦИАЛЬНОЕ ОПУБЛИКОВАНИЕ
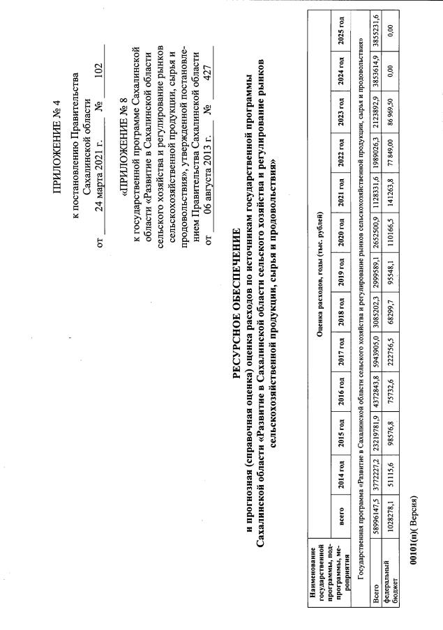
Постановление Правительства Сахалинской области от 24.03.2021 № 102
"О внесении изменений в постановление Правительства Сахалинской области от 06.08.2013 № 427 "Об утверждении государственной программы Сахалинской области "Развитие в Сахалинской области сельского хозяйства и регулирование рынков сельскохозяйственной продукции, сырья и продовольствия"
Номер опубликования: 6500202103290004
Дата опубликования: 29.03.2021
Страница №51 из 70:
Увеличить