Официальное опубликование правовых актов
ОФИЦИАЛЬНОЕ ОПУБЛИКОВАНИЕ
Указ Губернатора Сахалинской области от 04.03.2021 № 12
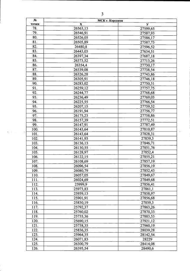
"Об установлении охранной зоны и утверждении Положения об охранной зоне памятника природы регионального значения Сахалинской области "Озеро Тунайча", расположенного на территории муниципального образования Корсаковский городской округ Сахалинской области"
Номер опубликования: 6500202103100003
Дата опубликования: 10.03.2021
Страница №5 из 9:
Увеличить