Официальное опубликование правовых актов
ОФИЦИАЛЬНОЕ ОПУБЛИКОВАНИЕ
Указ Губернатора Сахалинской области от 08.12.2020 № 115
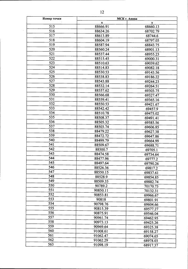
"Об установлении охранной зоны и утверждении Положения об охранной зоне памятника природы регионального значения Сахалинской области "Успеновские клюквенники", расположенного на территории муниципального образования "Анивский городской округ"
Номер опубликования: 6500202012090005
Дата опубликования: 09.12.2020
Страница №14 из 32:
Увеличить