Официальное опубликование правовых актов
ОФИЦИАЛЬНОЕ ОПУБЛИКОВАНИЕ
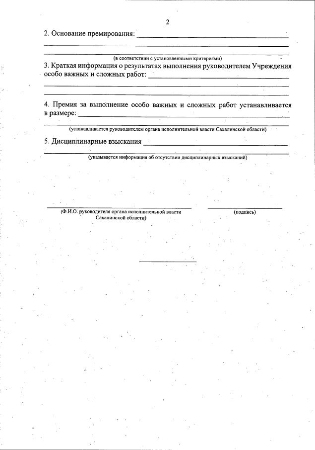
Постановление Правительства Сахалинской области от 06.11.2020 № 512
"О внесении изменений в некоторые нормативные правовые акты Правительства Сахалинской области"
Номер опубликования: 6500202011090005
Дата опубликования: 09.11.2020
Страница №24 из 61:
Увеличить