Официальное опубликование правовых актов
ОФИЦИАЛЬНОЕ ОПУБЛИКОВАНИЕ
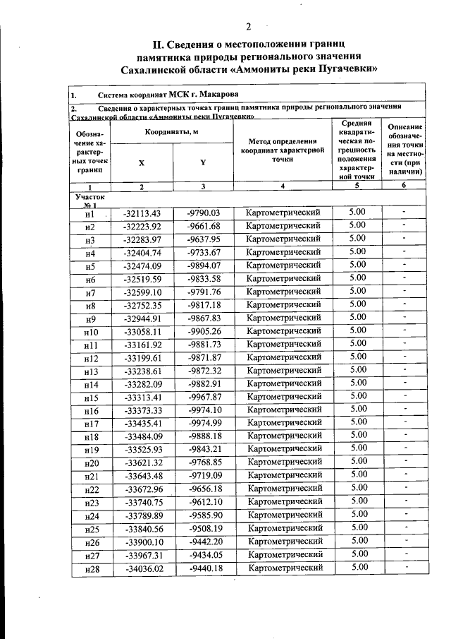
Постановление Правительства Сахалинской области от 07.09.2020 № 419
"Об утверждении положений о памятниках природы регионального значения Сахалинской области, внесении изменений в постановление администрации Сахалинской области от 14.05.2008 № 124-па и признании утратившими силу отдельных положений некоторых актов Правительства Сахалинской области"
Номер опубликования: 6500202009090001
Дата опубликования: 09.09.2020
Страница №9 из 147:
Увеличить