Официальное опубликование правовых актов
ОФИЦИАЛЬНОЕ ОПУБЛИКОВАНИЕ
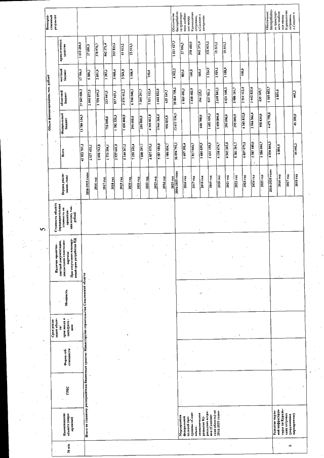
Постановление Правительства Сахалинской области от 10.06.2020 № 265
"О внесении изменений в государственную программу Сахалинской области "Социально-экономическое развитие Курильских островов (Сахалинская область) на 2016 - 2025 годы", утвержденную постановлением Правительства Сахалинской области от 28.12.2015 № 548"
Номер опубликования: 6500202006160002
Дата опубликования: 16.06.2020
Страница №46 из 201:
Увеличить