Официальное опубликование правовых актов
ОФИЦИАЛЬНОЕ ОПУБЛИКОВАНИЕ
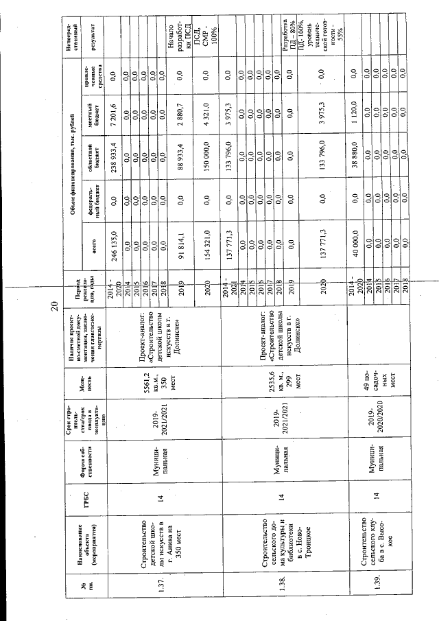
Постановление Правительства Сахалинской области от 27.12.2019 № 654
"О внесении изменений в государственную программу "Развитие сферы культуры в Сахалинской области", утвержденную постановлением Правительства Сахалинской области от 31.07.2013 № 394"
Номер опубликования: 6500202001040005
Дата опубликования: 04.01.2020
Страница №88 из 245:
Увеличить